基于X射线荧光光谱-X射线衍射技术的泥土物证分析与区域分类鉴别研究

Material Evidence Analysis and Regional Classification and Identification of Soil Based on X-ray Fluorescence Spectrometry and X-ray Diffraction

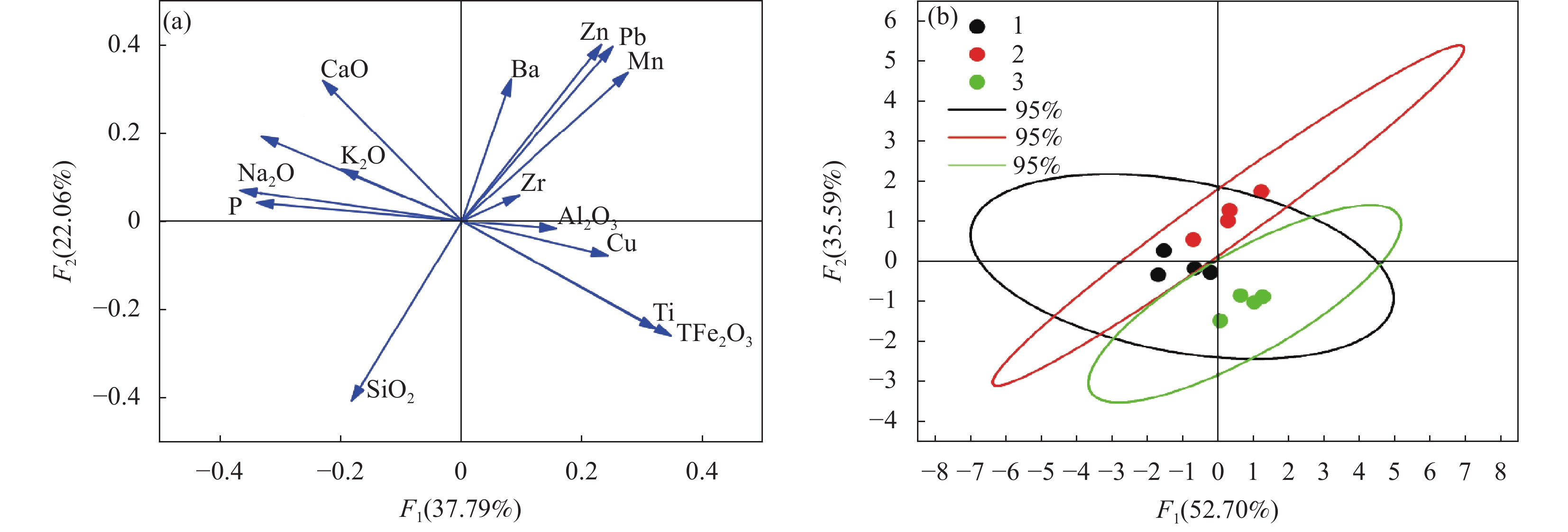
  • 摘要: 在法庭科学鉴定领域,土壤、岩石等地球化学相关材料是重要的物证来源。在实际案情分析中,物证材料所提供的信息往往指向未知区域,在没有明确犯罪现场位置的情况下,预测物证的来源是一项极具挑战性的工作。针对地球化学物证信息的未知性,通过建立包含矿物组成、元素含量、地理位置等理化性质和地理信息的数据集,比对案发现场样本信息,快速确定物证样本来源,为案情调查提供有力的技术支持和证据支持。本文采集辽宁沈阳市城市内表层泥土样品(0~10cm),应用X射线荧光光谱法(XRF)和X射线粉晶衍射法(XRD)对泥土物证样本中15种元素(SiO2、Al2O3、CaO、Cu、Zn和Pb等)和矿物成分进行测试分析;借助MapGIS软件绘制元素含量分布图,探讨研究区元素分布特点及影响因素,利用主成分分析法(PCA)对三个研究区域泥土样本进行分类鉴别。结果表明:①通过城市地质填图可以获得准确直观的元素含量分布图,法庭工作者可以比对泥土样本的元素特征,追溯物证来源。②沈阳市泥土物证样本主要由石英、长石、蒙脱石和伊利石组成(88.0%~98.0%),XRD条形热图便于法庭工作者进行大量数据比对分析。③基于主成分分析法对三个研究区域15种元素进行降维分析,在95%的置信区间内实现显著的区域鉴别(第1组F1<0,F2<0;第2组F1>0,F2>0;第三组F1>0,F2<0)。④三个研究区域泥土样本中绿泥石、透闪石、高岭石、方解石和白云石存在显著差异,进一步佐证PCA分析分类的准确性。XRF与XRD的联合应用能够有效地区分城市内不同区域的泥土物证样本,为泥土物证溯源调查提供指向性研究区域,并为缩小调查范围提供重要线索。

     

    Abstract: In the field of forensic science identification, geochemical-related materials such as soils and rocks were important sources of material evidence. In actual case analysis, the information provided by material evidence often pointed to unknown areas. Predicting the source of material evidence was an extremely challenging task when the location of the crime scene was not clear. To address the uncertainty of geochemical material evidence information, a dataset including physicochemical properties and geographic information such as mineral composition, element content, and geographical location was established. By comparing the sample information from the crime scene, the source of the material evidence samples could be quickly determined, providing strong technical and evidentiary support for case investigation. Surface soil samples (0−10cm) were collected from urban areas in Shenyang City, Liaoning Province, and X-ray fluorescence spectrometry (XRF) and X-ray powder diffraction (XRD) were applied to test and analyze 15 elements (SiO2, Al2O3, CaO, K2O, Na2O, MgO, TFe2O3, Ti, Mn, Ba, P, Zr, Cu, Zn and Pb) and mineral components in the soil material evidence samples. With the help of MapGIS software, element content distribution maps were drawn to explore the characteristics and influencing factors of element distribution in the study area. Principal component analysis (PCA) was used to classify and identify soil samples from three study areas. The results indicated that: (1) through urban geological mapping, accurate and intuitive element content distribution maps can be obtained, allowing court workers to compare the elemental characteristics of soil samples and trace the source of material evidence. (2) The soil material evidence samples from Shenyang were mainly composed of quartz, feldspar, montmorillonite, and illite (88.0%−98.0%). The XRD diffraction bar thermal map facilitated court workers to conduct comparative analysis of large amounts of data. (3) Based on PCA, a dimensionality reduction analysis of 15 elements from three study areas was conducted, and significant regional discrimination of soil samples from the three study areas was achieved within a 95% confidence interval (Group 1: F1<0, F2<0; Group 2: F1>0, F2>0; Group 3: F1>0, F2<0). (4) There were significant differences in chlorite, tremolite, kaolinite, calcite, and dolomite among soil samples from the three study areas, further supporting the accuracy of PCA classification. In summary, the combined application of XRF and XRD technology could be used to effectively distinguish soil material evidence samples from different areas within the city, providing directed research areas for soil material evidence traceability investigation and important clues to narrow down the investigation scope.

     

/

返回文章
返回