LA-ICP-MS独居石U-Th-Pb测年方法研究

Analytical Conditions for U-Th-Pb Dating of Monazite by LA-ICP-MS

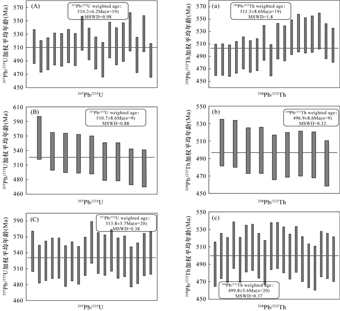
  • 摘要: 相比LA-ICP-MS锆石U-Pb测年,独居石在一些年轻地质体或流体作用下的矿物定年中更具优势,具有很好的应用前景。然而,大多数独居石Th含量较高(可达7%),包裹体较多,另外随着独居石定年标样不断消耗,存量越来越少,也限制了独居石U-Th-Pb同位素测年的发展与应用。前人利用LA-ICP-MS探究合适的独居石U-Th-Pb测年实验条件,主要是改变激光器的参数,而未对ICP-MS的参数进行系统研究。本文通过改变激光器参数(束斑直径和激光频率)和ICP-MS参数(232Th驻留时间),分别在束斑直径为24μm、16μm和10μm,激光频率为3Hz、4Hz和5Hz,232Th驻留时间为10ms、6ms、3ms和1ms的条件下进行U-Th-Pb测年。最后以独居石RW-1为标样,对独居石样品Bananeira进行校正,期望得到独居石U-Th-Pb测年的最佳条件。结果表明:束斑直径为16μm,232Th驻留时间为3ms或1ms,能量密度为4J/cm2,激光频率为5Hz,载气He流速为0.35L/min,载气Ar流速为0.95L/min的实验条件下适合独居石测年,这两种条件下Bananeira的207Pb/235U加权平均年龄分别为510.7±8.6Ma(MSWD=0.87)、513.8±5.7Ma(MSWD=0.38,推荐值507.7±1.3Ma),误差在0.59%和1.20%左右;208Pb/232Th加权平均年龄分别为496.9±8.6Ma(MSWD=0.596)、499.8±5.6Ma(MSWD=0.37,推荐值497.6±1.6Ma),误差在0.14%和0.44%左右。并利用此条件对黄山花岗岩(HS-1)进行独居石U-Th-Pb测年,其207Pb/235U加权平均值在128.3±2.4Ma(MSWD=0.73),与本次测定该岩体的锆石年龄数据(127.0±2.1Ma,MSWD=0.93)在误差范围内一致,验证了本实验建立的独居石U-Th-Pb定年方法可靠。

     

    Abstract:
    BACKGROUNDCompared with zircon U-Pb dating, monazite has more advantages in the dating of some metamorphic rocks or highly differentiated rocks. However, the U-Th-Pb isotopic dating of monazite has been limited, because of high Th concentration (commonly>7%), many mineral inclusions, and rare dating standard samples. Previous research on LA-ICP-MS U-Th-Pb dating of monazite mainly focused on laser parameters, and lacked attention on ICP-MS conditions.
    OBJECTIVESTo find suitable experimental LA-ICP-MS monazite dating conditions.
    METHODSUsing 193nm ArF excimer laser ablation system and Agilent 7500a inductively coupled plasma-mass spectrometer, laser parameters (laser beam spot diameter and laser frequency) and ICP-MS parameters(dwelling time of 232Th) were investigated. The laser beam spot diameter was set to 24μm, 16μm and 10μm, and the laser frequency was set to 3Hz, 4Hz and 5Hz. The dwelling time of 232Th was set to 10ms, 6ms, 3ms and 1ms for U-Th-Pb dating. Finally, the monazite sample RW-1 was used as the standard sample to calibrate the monazite sample Bananeira.
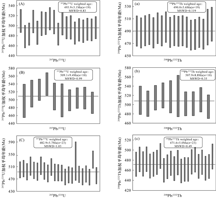
    RESULTSIt was suitable for monazite dating when the beam spot diameter was 16μm, the dwelling time of 232Th was 3ms or 1ms, the energy density was 4J/cm2, the laser frequency was 5Hz, the carrier gas (He) flow rate was 0.35L/min, and the carrier gas (Ar) flow rate was 0.95L/min. Under these conditions, Bananeira's weighted average ages of 207Pb/235U were 510.7±8.6Ma (MSWD=0.87), and 513.8±5.7Ma (MSWD=0.38), which were consistent with the recommended age of 507.7±1.3Ma with respective errors of 0.59% and 1.20%. 208Pb/232Th weighted average ages were 496.9±8.6Ma (MSWD=0.596) and 499.8±5.6Ma (MSWD=0.37), which were consistent with the recommended age of 497.6±1.6Ma, with respective errors of 0.14% and 0.44%. The 207Pb/235U weighted average age of Huangshan sample HS-1 was 128.3±2.4Ma (MSWD=0.73), which were close to the zircon age of 127.0±2.1Ma (MSWD=0.93) in the Huangshan area.
    CONCLUSIONSThe optimal laser and ICP-MS conditions are suitable for monazite U-Th-Pb isotopic age determination.

     

/

返回文章
返回