应用近红外光谱法研究泻湖湿地沉积物重金属活动态特征及生态风险评价

Detection of Heavy Metals Mobile Fraction in Lagoonal Wetland Sediment Using Near-Infrared Spectroscopy and Ecological Risk Assessment

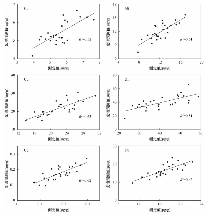
  • 摘要: 沉积物中的重金属元素经自然作用下可以活动态进行迁移,具有潜在生物可利用性及潜在的区域生态风险。利用近红外光谱(NIRS)技术开展不同基体类型样品响应机理研究,可为评估重金属活动态提供无损、快速的分析方法,为生态风险研究提供依据。天津七里海泻湖湿地沉积物具有低有机质-高黏土含量的特征,本文基于近红外光谱分析技术,建立了沉积物中Co、Ni、Cu、Zn、Cd、Pb重金属活动态组分含量近红外光谱-偏最小二乘回归预测模型。实验结果表明:样品在7290~6390cm-1和4683~4000cm-1波段存在的双羟基O-H伸缩振动、AlAl-OH及Al(Mg)-OH弯曲振动特征吸收,间接指示了重金属元素活动态含量。光谱预测结果显示,近百年来七里海沉积物中Co、Ni、Cu、Zn、Cd、Pb活动态组分的变化特征对应了当地1934-1948年、1956-1963年、1976年至今三次较明显的升温过程,也对应了1980年七里海水库建设等大型人为扰动。本研究样品中Co、Ni、Cu、Zn、Cd、Pb总量及活动态均低于国家标准中规定的生态风险阈值,七里海内村镇及周边农田来自湿地释放的重金属生态风险极低。

     

    Abstract:
    BACKGROUNDHeavy metal elements in sediment can migrate in an active state under natural action, which has potential bioavailability and potential regional ecological risks. The use of near-infrared spectroscopy (NIRS) technology to study the response mechanism of samples of different matrices can provide a non-destructive and rapid analysis method for evaluating the active state of heavy metals and provide a basis for ecological risk research.
    OBJECTIVESTo reveal the characteristics of active metal elements in lagoonal wetland sediment and evaluate their ecological risk.
    METHODSSediment core and soil samples near by the drilling site were analyzed using both spectral and chemical method. NIR spectra of dry-freezed sample were collected by infrared spectrometer with integrating sphere. Based on the near infrared spectroscopy analysis technique, near infrared spectrum were collected by the integrating device within range of 4000-10000cm-1 (1000-2500nm), at the resolution of 2cm-1. Meanwhile the chemical mobile fractions of heavy metal elements were extracted from soil and sediment samples by diluted nitric acid, the dissolved concentrations of Co, Ni, Cu, Zn, Cd, Pb were determined by inductively coupled plasma-mass spectrometry (ICP-MS). With both chemical and spectral predicted value, the partial least squares regression prediction model had been developed and applied to determine mobile fraction of Co, Ni, Cu, Zn, Cd and Pb.
    RESULTSArea of absorption peaks at 7290-6390cm-1 and 4683-4000cm-1 related to O-H strentching along with AlAl-OH and Al(Mg)-OH bending indirectly indicate the active content of heavy metals. Spectral prediction results show that the changes in the active components of Co, Ni, Cu, Zn, Cd and Pb in the sediments of the Qilihai in the past 100 years corresponded to the three obvious changes from 1934 to 1948, 1956 to 1963, and 1976 to the present. The temperature increase also corresponded to large-scale human disturbances such as the construction of the Qilihai Reservoir in 1980.
    CONCLUSIONSThe total and mobile fractions of Co, Ni, Cu, Zn, Cd and Pb in Qilihai sediments were lower than the ecological risk threshold specified in the national standard. The ecological risk of heavy metals released from wetlands towards nearby villages and farmland in the Qilihai catchment area was extremely low.

     

/

返回文章
返回