新疆别也萨麻斯矿区钽锰矿的矿物学特征及其TIMS U-Pb定年

Mineralogical Characteristics and TIMS U-Pb Dating of Tantalite-(Mn) from the Bieyesamas Rare Metal Deposit, Xinjiang

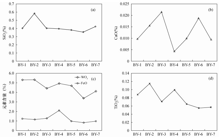
  • 摘要: 钽矿是我国的紧缺资源,近年来对别也萨麻斯地区钽矿取得了找矿新进展,包括新矿点的发现以及花岗伟晶岩型稀有金属资源的找矿突破。区内伟晶岩脉广泛发育,为探究含矿脉体的成矿时代、查明区内典型铌钽矿物的矿物学特征,本文以L18号伟晶岩脉中的钽锰矿为研究对象,对其物理性质、化学成分、地质年代等进行了分析。应用电子探针测试钽锰矿的化学组成,热电离质谱法(TIMS)测定其U-Pb年龄,确定含矿脉体的形成年代。结果表明,研究区钽锰矿中Ta2O5含量为51.58%~74.80%,均值68.49%,Nb2O5含量为6.15%~27.63%;部分主量元素分布不均,未表现出规律的分带性,但矿物颗粒中心部位的CaO含量较边部低,横剖面上SiO2含量相对稳定,TiO2与WO3显示不规律波动。这种特征表明钽锰矿并非单纯由结晶分异作用形成,而是可能受到了后期交代作用的影响。钽锰矿的U-Pb年龄为160Ma,说明钽锰矿化发生于晚侏罗世早期,与围岩海西期二云母花岗岩相差甚远,后者并非L18号脉体的成矿母岩。

     

    Abstract:
    BACKGROUNDTantalum is a scarce resource in China. A new breakthrough in ore prospecting was obtained on the tantalum ore in the Bieyesamasi area, Xinjiang, including new occurrences as well as the exploration of pegmatite-type rare metal resources.
    OBJECTIVESTo explore the mineralization age of ore-bearing veins and the mineralogical characteristics of typical columbite-tantalite minerals, tantalite-(Mn) from L18 pegmatite veins, and to evaluate one of the most distinctive minerals in this area.
    METHODSElectron microprobe was used to characterize mineralogy of tantalite-(Mn), and TIMS U-Pb geochronology of this mineral was used to constrain the age.
    RESULTSThe content of Ta2O5 in tantalite-(Mn) from L18 pegmatite veins ranged from 51.58% to 74.80%, with an average of 68.49%, while Nb2O5 contents varied from 6.15% to 27.63%. Some of the major elements were unevenly distributed and did not show regular banding, with the CaO content in the center of a mineral particle lower than at the edge, and the SiO2 content relatively stable in the cross section. TiO2 and WO3 showed irregular fluctuations. This feature indicated that the tantalite-(Mn) was not formed solely by crystal differentiation, but may be affected by later metasomatism.
    CONCLUSIONSTIMS U-Pb dating of tantalite-(Mn) yields an age of 160Ma, indicating that the mineralization of L18 pegmatite was formed in the early period of Late Jurassic, different from the surrounding Hercynian granite. It is inferred that Hercynian granite is not the source of L18 pegmatite vein.

     

/

返回文章
返回