川西高原地区水体中硒含量及分布特征研究

Study of the Contents and Distribution of Selenium in Water Samples from the Western Sichuan Plateau and the Incidence of Kaschin Beck Disease

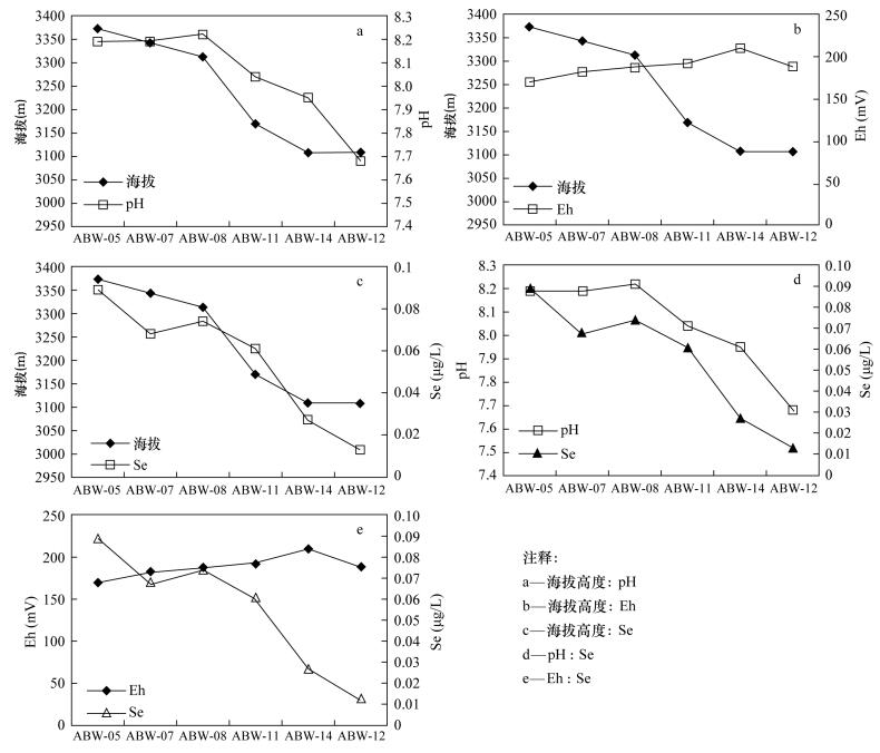
  • 摘要: 川西高原是大骨节病比较集中的区域之一,低硒是大骨节病的重要致病因素,研究该地区硒含量对于防治大骨节病有重要意义。本文采用原子荧光光谱法研究川西高原阿坝地区大骨节病高发区水体样品中硒的含量特征。结果表明:该区域水体中硒含量较低,地下水的硒含量明显高于地表水和山泉水;山泉水的硒含量为0.001~0.058 μg/L,平均值0.0067 μg/L,硒的分布受地质背景、pH值和氧化还原电位(Eh值)等条件的控制,低硒的地质环境是导致山泉水的硒含量很低的最主要因素;地表水的硒含量为0.001~0.148 μg/L,平均值0.0221 μg/L,硒分布的影响因素为地质背景、地理条件以及水体地球化学条件;地下水的硒含量为0.001~0.210 μg/L,平均值0.0523 μg/L,硒分布的影响因素为地质背景、pH值和Eh值,有机质含量也是关键因素之一。研究认为,对于以山泉水为主要饮用水源的藏民,低硒的山泉水不能提供人体需要的硒营养,不适合作为水源;川西高原地表水资源丰富,但水中的元素迁移性极强,地表水中的硒不易进入生态链的循环,也不适合作为饮用水源;地下水的硒含量较高,应推广作为当地的生活饮用水,减少大骨节病的发病率。

     

    Abstract: The West Sichuan Plateau is one of the most concentrated areas for Kaschin Beck disease. Lack of selenium is an important factor of Kaschin Beck disease, therefore, selenium content study in this area is important for its prevention. Atomic Fluorescence Spectrometry was used to analyze the contents of selenium in water samples in the Aba region, West Sichuan Plateau. Results show that the content of selenium in water is low, and the content of selenium in groundwater is obviously higher than that of surface water and spring water. The content of selenium in spring water is 0.001-0.058 μg/L, with an average value of 0.0067 μg/L. The distribution of Se is controlled by geological background, pH and Eh. The low selenium geological environment is the most important factor leading to low selenium content in spring water. The selenium content of surface water is 0.001-0.148 μg/L, with an average value of 0.0221 μg/L, and the influence factors of selenium distribution are geological background, geographical conditions and water geochemical conditions. The content of selenium in groundwater is 0.001-0.210 μg/L, with an average value of 0.0523 μg/L, and the influence factors of selenium distribution are geological background, pH and Eh, as well as the content of organic matter. This study indicates that low selenium spring water cannot provide the selenium nutrition needed by Tibetans whose main drinking water source is spring water, and is thus not suitable as a water source. The surface water resources in the Western Sichuan Plateau are abundant. However, the migration of elements in water is very strong. Therefore, it is difficult for selenium in surface water to enter the ecological chain, making the surface water unsuitable as a source of drinking water. In order to reduce the incidence of local Kaschin Beck disease, groundwater with high selenium content should be used as a source of local drinking water.

     

/

返回文章
返回