电子探针化学测年在攀枝花大田晶质铀矿中的应用及其意义

Application of Electron Microprobe Chemical Dating to Datian Uraninite in Panzhihua and Its Significance

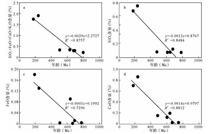
  • 摘要: 晶质铀矿和沥青铀矿是热液铀矿床的主要工业铀矿物,在研究热液铀矿床成因及成矿规律方面具有重要的意义。攀枝花大田地区是我国混合岩型热液铀矿分布区,已发现粗粒特富铀矿滚石(铀含量>10%)及较富基岩矿石(铀含量为0.1%~2%),主要铀矿物为晶质铀矿,对两种晶质铀矿成分及形成时代的研究对该区混合岩型热液铀矿成矿规律研究具有重要的价值。本文通过对大田地区滚石中的晶质铀矿和基岩矿石中的晶质铀矿进行矿物学及电子探针分析,研究了晶质铀矿的成分及形成时代。结果表明:①大田地区滚石和基岩矿石中的晶质铀矿除铅之外化学成分较为相似,两类矿石晶质铀矿中UO2含量为77.36%~84.04%,ThO2含量为0.98%~5.59%,PbO含量为1.79%~8.8%,其中滚石晶质铀矿中的铅含量低于基岩晶质铀矿,钍含量高于基岩晶质铀矿;②电子探针化学定年结果表明,基岩矿石晶质铀矿的形成时代为774.9~785.5 Ma,滚石晶质铀矿的形成时代为783.7 Ma,与传统同位素测年结果(775~777.6 Ma)非常一致,一方面说明滚石晶质铀矿和基岩晶质铀矿为同一时代的产物,另一方面说明电子探针原位测年方法是可靠的;③在后期的热液蚀变中,晶质铀矿先后发生了硅化、碳酸盐化及赤铁矿化,蚀变发生的时间分别为730.6 Ma、699.8 Ma和664.0 Ma。此结论对研究攀枝花大田地区热液铀矿成矿时代及成矿作用过程提供了依据。

     

    Abstract: As the main industrial uranium minerals in hydrothermal uranium deposits, uraninite and pitchblende are of great significance in the study of ore genesis and metallogenic regularity of hydrothermal uranium deposits. The Datian area in Panzhihua is one of the important areas of migmatite type hydrothermal uranium deposit in China. There is ultra-rich-uranium ore (U>10%) in rolling stone and the richer uranium-rich bedrock ore (U=0.1%-2%) where uraninite is the main uranium mineral. The study of the composition and forming age of two types of uraninite has important significance for metallogenic regularity of mixed rock type hydrothermal uranium deposits in the Datian area. In this study, mineralogical and Electron Microprobe analyses of uraninite in rolling stone and bedrock from the Datian area were carried out to determine the composition and age. Results show that the chemical compositions of uraninite in rolling stone and bedrock are similar except Pb contents with UO2 contents of 77.36%-84.04%, ThO2 contents of 0.98%-5.59%, and PbO contents of 1.79%-8.8%. Lead contents of uraninite in rolling stone are lower than those of uraninite in the bedrock, but thorium contents are contrary. Electron Microprobe chemical dating indicates that the uraninite in bedrock ore has ages of 774.9-785.5 Ma, whereas the uraninite in rolling stones has an age of 783.7 Ma. The dating results are consistent with traditional isotopic dating (775-777.6 Ma). The indicates that the uraninite in rolling stones and bedrock formed at the same time and the electronic probe in situ dating method is credible. In the late hydrothermal alteration, the uraninite experienced silicification, carbonization, and hematitization at 730.6 Ma, 699.8 Ma, and 664.0 Ma, respectively. This study provides evidences for the metallogenic epoch and mineralization process of the hydrothermal uranium deposits.

     

/

返回文章
返回