便携式X射线荧光光谱仪在岩石样品分析中的应用研究

Application of Portable X-ray Fluorescence Spectrometer in the Analysis of Rock Samples

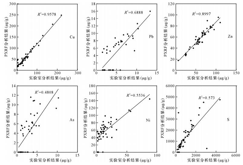
  • 摘要: 便携式X射线荧光光谱仪(PXRF)因具有快速、无损检测元素含量的能力,通常被用于野外或实验室地质样品的元素含量检测工作中,对于大多数地质样品,在2 min内就能够获得几十种元素的半定量-定量分析结果。但在实际应用中,被测样品的表面平整度、样品中物质的均一性和施测时间等因素都会影响元素分析结果。为了进一步了解样品类型和分析测试方法等因素对元素分析的具体影响,本文对比了PXRF与实验室分析结果、岩石和粉末样品PXRF分析结果、不同检测时间所得PXRF分析结果的关系,在不损失过多分析精度的前提下提出了通过PXRF降低勘查成本、提高工作效率的方案。结果表明:用PXRF直接分析岩石样品时,大多数元素的分析结果可靠性较差,尤其是成矿预测工作中常用的Cu、Pb、Zn、As和Ni等元素;粉末样品的PXRF分析结果与实验室分析结果具有较好的相关性,表明对岩石样品进行粉碎处理能够明显改善PXRF分析质量;元素种类不同,岩石和粉末样品PXRF测量结果的相关性也不同。因此,在实际工作中可以根据感兴趣的目标元素确定是否需要对岩石样品进行粉碎制样处理;检测时间对元素含量分析结果没有明显影响,对于特定元素,如果能够在较短时间内获得其含量信息,则无需增加检测时间。

     

    Abstract: Portable X-ray Fluorescence Spectrometer (PXRF) is often used in the laboratory and the field because it is a portable, high-efficiency and non-destructive piece of equipment. PXRF can be used to obtain semi-quantitative/quantitative results of multiple elements in geological samples within two minutes. However, there are many factors that can affect the analytical results of geological samples by PXRF, including the surface state, sample heterogeneity, and the measurement time. In order to further understand the effect of sample types and analytical methods on the element contents, the study described here compares the analytical results of rocks by PXRF with those acquired by conventional laboratory analysis. Results of rocks and rock powder samples by PXRF were also compared, and the effect of different detection time on the results of rock powder samples by PXRF was also investigated. A method has been proposed which will reduce the exploration cost and improve work efficiency without a significant loss of analytical precision. The results shows that analytical results of most of the detectable elements is not reliable when analyzing rocks directly by PXRF, especially for the frequently used trace elements (Cu, Pb, Zn, As and Ni). However, PXRF can be used to analyze rock powders and the analytical result is acceptable. There is a difference between the correlation of various elements between rock and rock powder samples by PXRF. Therefore, it is possible to determine whether the rock sample needs to be ground for sample preparation according to the target elements of interest in practical work. The detection time has no obvious effect on the elemental content results. Whether a specific element can be obtained in a relatively short time, further detection time is unnecessary.

     

/

返回文章
返回