重庆铜梁地区“绿豆岩”中碎屑锆石U-Pb年龄及其地质意义

Zircon U-Pb Dating of 'Mung Bean Rock' in the Tongliang Area, Chongqing and Its Geological Significance

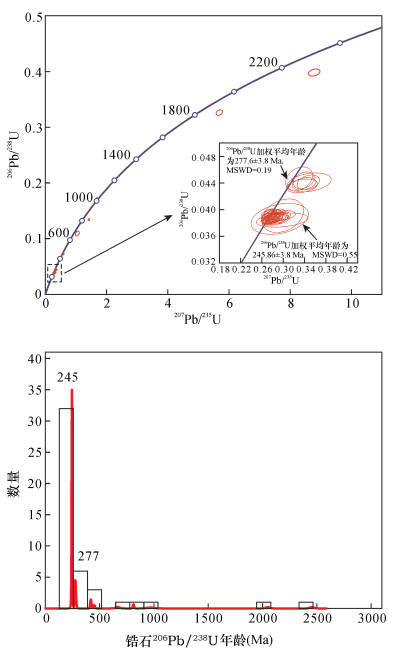
  • 摘要: “绿豆岩”是降落沉积的火山灰经古风化作用和成岩作用形成的多为黏土类的岩石,广泛存在于我国西南早、中三叠世地层间,是良好的区域性等时标志层。研究绿豆岩的成岩年代对进一步了解其成岩机制和时代背景具有重要意义。本文以重庆铜梁地区“绿豆岩”中的碎屑锆石为研究对象,进行了锆石LA-ICP-MS定年工作。观察发现本次绿豆岩中挑选的碎屑锆石晶型较完整,具环带结构,U、Th含量普遍较高,为岩浆结晶锆石特征;锆石206Pb/238Pb年龄峰值集中分布在245.86±0.98 Ma和277.6±3.8 Ma。绿豆岩分布在雷口坡组的底部,因此获得的245.86 Ma年龄数据,代表了重庆铜梁地区雷口坡组底部随火山灰进入沉积盆地的锆石的年龄,该年龄值与贵州、广西等地凝灰岩中锆石的年龄相近,故认为在大约246 Ma存在区域性火山喷发事件。较老的锆石应为早期火成岩经风化作用,锆石被带入盆地沉积的结果,其中在277 Ma年处存在一个小的峰值,推断二叠纪中期存在一次岩浆活动。

     

    Abstract: 'Mung Bean Rock' or 'Green Bean Rock' is a type of clay-like rock formed by Paleomatization and diagenesis. These rocks are distributed mainly between early and middle Triassic strata in Southwestern China and are good regionally isochronal mark beds. Studying the diagenetic age of 'Mung Bean Rock' is of great significance for further understanding of its diagenetic mechanism and age background. The debris zircon of 'Mung Bean Rock' in Chongqing Tongliang was used for U-Pb dating by LA-ICP-MS in this study. The zircon crystals have almost complete shape and zoning textures with high U and Th content, typical of magma zircon. Weighted average ages of the zircon 206Pb/238U peak at 245.86±0.98 Ma and 277.6±3.8 Ma. 'Mung Bean Rock' is located in the base of the Leikoupo Formation, the age of 245.86 Ma represents the timing of the zircons entering the sedimentary basin with volcanic ash at the base of the Leikoupo Formation in Tongliang, Chongqing. The age is similar to that of the tuff in Guizhou and Guangxi, indicating that regional volcanic eruption occurred at around 246 Ma. The older zircon was brought into the sedimentary basin during weathering of early igneous rocks and deposited with 'Mung Bean Rock'. A peak age at 277 Ma may imply that there was magmatic activity in the middle Permian period.

     

/

返回文章
返回