基于扫描电镜-氮气吸脱附和压汞法的页岩孔隙结构研究

Analysis of the Pore Structure of Shale in Ordos Basin by SEM with Nitrogen Gas Adsorption-Desorption

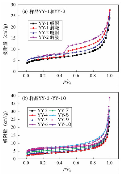
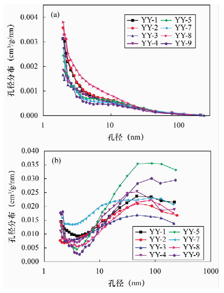
  • 摘要: 研究页岩孔隙结构特征, 对于探讨页岩气赋存机理有重要意义。本文采用扫描电镜(SEM)、氮气吸脱附法与压汞法对鄂尔多斯盆地页岩样品的孔隙结构进行了全面表征, 发现所研究区域页岩孔隙类型包括溶蚀孔隙、粒间孔隙和微裂缝; 孔径从几个纳米到几百个微米, BET比表面积在7~25 m2/g之间, 孔体积在0.01~0.03 cm3/g范围。研究结果表明鄂尔多斯盆地页岩具有良好的孔隙结构, 孔隙类型丰富, 孔径分布范围广泛, 其中纳米级孔隙占主导, 纳米级孔的存在有利于页岩气的存储, 微裂隙的存在则有利于页岩气的运移。说明该区域页岩气的储藏具有良好的基础环境, 页岩含气量可能较丰富。

     

    Abstract: Identification of porosity in shale is of great significance for exploring mechanism of shale gas. Porosity properties of the shale samples from the Ordos Basin were characterized by multiple techniques including Scanning Electron Microscope(SEM), Mercury Intrusion Porosimetry(MIP), and nitrogen gas adsorption-desorption. Results showed that the shales contained abundant pores that include dissolution pore, microfracture pore, and intergranular pore. The pore sizes range from several to several hundred nanometers. The total surface area ranges from 5.06 to 19.32 m2/g and pore volume has a range of 0.01-0.03 cm3/g. Results indicate that the OrdosBasin Shale develops pores of various types and sizes. The main type of pore is the nano-pore, which is beneficial for the storage of shale gas. Micro-cracks are beneficial for the transportation of shale gas. These results suggest that the basic environment of the Ordos Basin is suitable for the storage of shale gas and that the Ordos Basin may be rich in shale gas.

     

/

返回文章
返回